Il faut remplacer chaque ligne d'exemple pour y renseigner vos propres produits simples.

Attention : Renseignez le bon taux de TVA pour chacun de vos produits. Celui-ci peut-être différent selon le type de commande. Si tel est le cas, il faut paramétrer la gestion des prix, TVA et disponibilités par type de commande (voir Paramétrer les catalogues produits) 
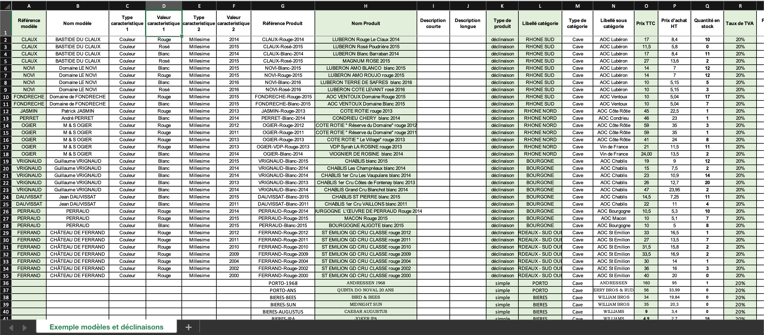
Important : Lorsqu'il s'agit d'une mise à jour de produit existant, la colonne référence ne doit pas être modifiée. Elle permet d'identifier le produit à modifier.
Remplir le modèle d'import Complet
Modèle d'import CompletIl faut remplacer chaque ligne d'exemple pour y renseigner vos propres produits. Il est important de bien renseigné le type de produit (Simple ou Variante), les colonnes liées au modèle (Caractéristique, Nom et référence modèle, Type de modèle) ne seront pas prises en compte s'il s'agit d'un produit simple.

Information : Il est important de remplir le fichier d'import avec rigueur. Si vous possédez un site marchand, les informations renseignées seront visibles sur la fiche produit.

Attention : Renseignez le bon taux de TVA pour chacun de vos produits. Celui-ci peut-être différent selon le type de commande. Si tel est le cas, il faut paramétrer la gestion des prix, TVA et disponibilités par type de commande (voir Paramétrer les catalogues produits) 
Important : Lorsqu'il s'agit d'une mise à jour de produit existant, la colonne référence ne doit pas être modifiée. Elle permet d'identifier le produit à modifier.
Règles de l'import catalogue
Après avoir rempli le fichier Excel avec vos produits, il ne reste plus qu'à sélectionner votre catalogue produit dans la page d'import. Si celui-ci contient plusieurs onglets, il faut choisir la feuille à importer.
Règles de l'importL'étape « Règles de l'import » permet de définir s'il s'agit d'une création de nouveaux produits ou d'une modification de produits déjà existants.
Association des champs
Association des champsL'association des champs permet de faire correspondre les colonnes du fichier Excel et les champs du catalogue. Il est donc important de bien associer chaque ligne à prendre en compte.
Récapitulatif d'import catalogue
Récapitulation de la simulation d'importCette page nous affiche un récapitulatif, après une simulation d’import, indiquant les potentielles erreurs d’import. L'aperçu de la simulation d'import indique le nombre de produits, catalogue et catégories créés/modifiés ainsi que du nombre d'alertes avec un récapitulatif de celles-ci afin de pouvoir y remédier avant de faire l’import.
Après avoir pris en compte le récapitulatif d'import, il est possible de faire un nouvel import en appuyant sur l'onglet « Sélection de fichier » puis en choisissant le catalogue Excel modifié et en reprenant les étapes précédentes.
Il est possible de lancer l’import malgré les erreurs. Les lignes en alerte risque de ne pas être prises en compte lors de l’import.
Récapitulatif de l'import catalogueAprès validation, un compte rendu récapitulatif nous informe de l’état de l’import.

Règlementation : depuis le 1er janvier 2018, chaque commerçant a l'obligation de respecter la loi sur la TVA. La solution Restô est conforme à cette règlementation.

Multi-points de vente : cette fonctionnalité peut être paramétrée pour être globale ou propre à chaque Point de vente

Versions concernées : cette fonctionnalité est
comprise dans les packs d'abonnement suivants de Restô :
- Pack Caisse Connectée
- Pack Performance
- Pack Croissance
- Pack Décollage
- Pack Boutique en ligne